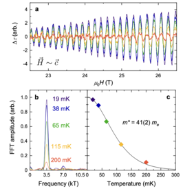
A collaboration led by Research Fellow Dr. Alex Eaton is making rapid progress with resolving the Fermi surface and carrier mass in the unconventional superconductor UTe2, providing key input to any comprehensive theoretical description. Results from a series of quantum oscillation measurements have now been published in Nature Communications. Alex and colleagues show that the Fermi surface structure can be described in terms of two 2D pockets, which undulate along the c direction.